2011年研究生考试英语大小作文题目及范文
Part A
Directions::
Write a letter to a friend of yours to
1) recommend one of your favorite movies and
2) give reasons for your recommendation
You should write about 100 words on ANSWER SHEET2.
Do not sign your own name at the end of the letter.Use”Li Ming”instead.
Do not write the address.(10 poinr)
参考范文
作文地带提示:本文大致是向朋友介绍电影阿凡达的大致内容及感想。
Dear my friend,
I’m writing to you to recommend one of my favorite movies 'Avatar'.
The movie is directed by James Cameron, who is famous with product Titanic. The story is about immigration to planet Pandora, and what happened with local NA'VI. The film is such a wonder that I thought it is well worth watching in one's whole life. 'Avatar' is not just a film about the love story between a 'human' and a NA'VI princess, but also a educational file. From the movie we learned that we must live in harmony with the nature. Therefore I do not hesitate to recommend this movie to you. I am sure you will enjoy the movie.
Yours sincerely,
Li Ming
参考范文二:
Dear Bob,
As one of your closest friend, I'm writing the letter in purpose of recommending one of my favorite movies to you, Around the World in Eighty Days。
The primary factors for my recommendation as as follows. For one thing, this is a movie of science fiction which tells us an exciting story about an English gentleman,Mr. Phileas Fogg, who makes a bet with his clubmates and managers to travel around the world in eighty days. For another, it gives us a vivid description of the many difficulties and incidents which happen on his journey。
Wish you enjoy the movie. Looking forward to your reply. (104 words)
Yours sincerely,
Li Ming
参考作文地带整理译文
鲍勃:
作为你最好的一位朋友,我写这封信是为了向你推荐我最喜欢的电影之一:《八十天环游地球》。
我推荐的主要原因如下。首先,这是一部科幻电影,讲述了一位英国绅士的一个激动人心的故事。菲力·弗格先生跟他的俱乐部伙伴打了个赌,并设法在八十天之内环游了地球。其次,电影生动描述了他在旅途中遇到的困难和发生的故事。
希望你喜欢这部电影。期待着你的回信。
你真诚的,
李明
真题详解
令广大考生欣慰的是,2011年小作文并未考察大纲中已提到六年但并未考察过的摘要题型,也未考察2010年刚刚考察过的告示题型,而是考察了广大考生最为熟悉、从2005到2009已经连续五年考察的书信。
回顾刚刚过去的2010年,中国内地电影票房成功突破100亿元,成为旭日初升的朝阳产业。从年中的《唐山大地震》、《盗梦空间》、《山楂树之恋》到年底的三大贺岁片《赵氏孤儿》、《让子弹飞》、《非诚勿扰2》,电影已经重新成为全民关注的话题。今年的考研小作文即考察了“电影”这一热点话题。
本题属于推荐信,在拙著《2011考研英语高分写作》第64-65页详细讲解了推荐信的注意事项、写作方法,提供了经典范文及十大万能句型。同时,该书76页提供的关于《八十天环游地球》的读书报告范文完全可以用于本文写作,下面的参考范文即由该文改写而成。
需要注意的是,写给朋友的称呼应该直呼其名,不应写某某先生或女士。本题属于半正式文体中的私人书信,文中最好使用3-5次缩写、省略句或口语表达。两点提纲可以各写一段,第三段进行结尾。首段无需进行自我介绍,开门见山表明写作目的即可;第二段应该分析两到三点原因。
作文地带点评:大作文无一例外,环境污染问题!虽然从感性层面上来说,这样的作文大家都有所准备,可从理性上来说,越是觉得简单的作文,写起来反而越难!
真题详解(参考范文见下面)
不出意外,2011年大作文自2000年以来连续第十二年考察了图画作文题型,三点提纲也与2008年以来的提纲完全一致,考察了考研写作六大话题之一:“环境保护”。
“环境保护”这一话题考研写作已是第五次考察:第一次是1991年考察了提纲作文“城乡环境差别”,第二次是1999年考察了图表作文“保护野生物种”,第三次是2000年考察了图画作文“保护海洋资源”,第四次是2009年考察了书信“限制使用塑料袋”,今年是第五次考察了图画作文“旅游与环境”。今年的考试再次提醒广大考生:考研写作历年真题是考研写作复习的重中之重!
参加过新东方培训的考生应该觉得今年的考题易如反掌。我们的内部教材《考研英语写作分册》第29-32页提供了1999和2000年考生的三篇高分作文,很多表达均可使用。几乎我所有的班上均详细讲解了2000年高分作文那篇万能框架,并仿写过三道最新真题,大家应该印象深刻。同时,我提供的二十必背范文中有三篇关于环境问题的范文,均可参考借鉴。我们还详细总结了考研写作六大必考话题,尤其关于环境的表达要求掌握。
Part B
相关主题:保护大自然(范文地址:http://www.LiuxuePaper.com/kaoyan/13701.html)
LiuxuePaper's Directions:
Write an essay of 160-200 words based on the following drawing.In your essay,you should
1) describe the drawing briefly.
2) explain its ntended meaning,and
3) give your comments.
You should write neatly on ANSWER SHEET2.(20 points)

插图-旅程之“余”
参考范文
As is subtly portrayed in the cartoon, two toursits are taking sightseeing on a small boat while discarding their picnicing leftovers casually into a lake. Unfortuantely, the lake is already littered and teamed with flowing rubbish like plastic containers, fish-bones, banana skin, watermelon rind, bottles, tins, food wrappings, and so on. And below the drawing, there is a topic which says: "after" the travel or "me" in the travel。
From the portrayal, we can conclude that the painter wants to convey such a message: a good many popular places are flooded with visitors, who spoil the beauty of nature by creating and leaving behind God-knows-how-much trash. On the one hand, tourism, as a multibillion-dollar business, is booming everywhere. Some people, laboring under the belief that tourism serves as an engine of economic growth, seem to ignore its negative effects on the environment. Nevertheless, it is my view that these are not concerns that we can shrug off lightly. On the other hand, tourism has exerted great pressure on the environment we are living in: water is polluted, the ecological system is disturbed, and natural resources have been excessively used。From www.LiuxuePaper.com.
Undoubtedly, tourism could not be banned in any country as it does help to shore up the economy in places which offer few sources of income. The significant point is that the unchecked growth of the travel business may render the development of an economy unsustainable. It is high time that we enhanced people's awareness to rectify this by taking the environmental protection into consideration. (255 words)
参考译文
如图所示,两名游客正在一艘小船上观光,同时把野餐的剩余垃圾随意丢入湖中。不幸的是,湖中已经堆满了漂浮的塑料盒、鱼骨、香蕉皮、西瓜皮、瓶子、罐头、食品包装等各色垃圾。在图画下方,有个小标题写明:“旅程之‘余’”。
从漫画中,我们可以得出结论:画家想要表达下述信息:成群的游客涌入很多景点,通过生产并丢弃大量的垃圾从而破坏了大自然的美观。一方面,旅游业作为一项数十亿美元的产业,正在世界各地迅猛发展。有些人认为旅游业是经济发展的引擎,似乎忽视了其对环境的负面影响。然而,我认为我们必须充分关注这一问题。另一方面,旅游业已经对我们生存的环境造成了巨大的压力。水受到污染,生态平衡遭到破坏,自然资源被过度开发。
毫无疑问,由于在其他收入很少的地区,旅游业确实有助于发展经济,因此任何国家都无法禁止旅游业。重要的是旅游业毫无节制的发展可能使得经济发展不可持续。通过考虑环境保护因素,我们早就该提高人们的意识来扭转这个现象了。
参考范文:
What a terrible and shocking scene it is! As is vividly depicted in the drawing above, sitting on the boat and enjoying their sightseeing, a couple of youngsters are throwing rubbish into the sea, with many dead fishes floating on the surface. What is conveyed in the picture is both realistic and thought-provoking.
The implied meaning of the given picture can be elaborated in terms of environmental protection and public manners. On the one hand, along with the development of the economy and society, people tend to attach great importance to personal and economic interests, ignoring ecological balance. As a consequence, environment has been polluted so seriously that environmental protection should be put on the agenda immediately. On the other hand, the inappropriate public manners such as littering and spitting are also one of the major factors causing environmental problems. If we let it go as it is, the nature will take revenge on human being sooner or later.
To serve as responsible stewards of the planet, we must promote and popularize the sense of environmental protection. For one thing, laws and regulations should be issued to change the practice of sacrificing long-term environmental health for short-term rapid economic development. For another, some educational campaign should be launched among the public, especially the young, to raise the awareness of public morality. Only in these ways can we achieve sustainable development and live in a harmonious society.
[page]2011研究生考试真题[/page]
write a short essay baesd on the following chart.in your writing,you should:
1)interpret the chart and
2)give your comments
you should write at least 150 wrods
write your essay on answer sheet 2(15points)

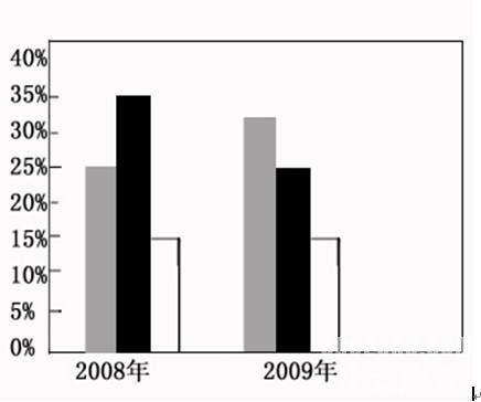
2008、2009年国内轿车市场部分【品牌份额示意图】
As can be seen clearly from the chart, the market share taken by domestic car brands increased rapidly from 25% in 20008 to nearly 35% in 2009, while conversely, the market share owned by Japanese car brands dropped by 10% from 35% in 2008 to 25% in 2008. What’s more, the market share taken by American car brands is on the upward trend, from 10% to nearly 15%.
Three reasons, in my opinion, can account for the changes in car market in these two years. First, the rise of Chinese cars is of little surprise as we have seen Chinese enterprises’ commitment to developing self-owned technologies, which not only free them from potential risks, but also bring about long-term benefit. Second, Japanese cars, which used to be highly praised for their outstanding quality and superior stability, is now reeling from a crisis of confidence. Last, the improvement of American cars’ performance must be attributed to the smart marketing strategy employed by American sellers. They launched a lot of marketing campaigns designed specially for Chinese market, which won them applaud as well as benefit. From LiuxuePaper.com.
In order to maintain the good momentum of development, domestic cars should on one hand stick to their self-independent policy, and on the other, learn some experiences from Japanese car’s failures and Americans’ success.
更多范文作文地带不断更新中……,请留意我们网站。

